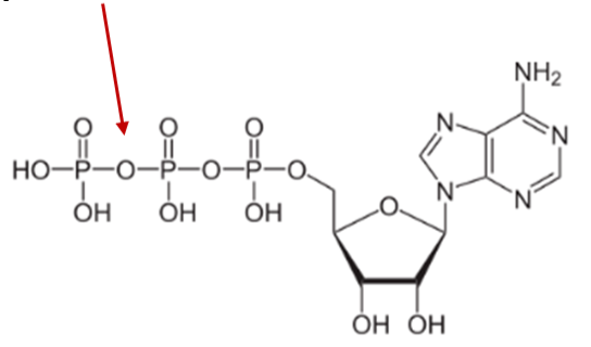
1.50 Wie heißt chemisch die Bindung, die im folgenden Molekül mit einem roten Pfeil gekennzeichnet ist?

Antwortmöglichkeiten
- (A) Carbonsäureester
- (B) gemischte Säureanhydrid
- (C) Peptidbindung
- (D) Thioesterbindung
- (E) Phosphosäureester
1.50 Wie heißt chemisch die Bindung, die im folgenden Molekül mit einem roten Pfeil gekennzeichnet ist?
