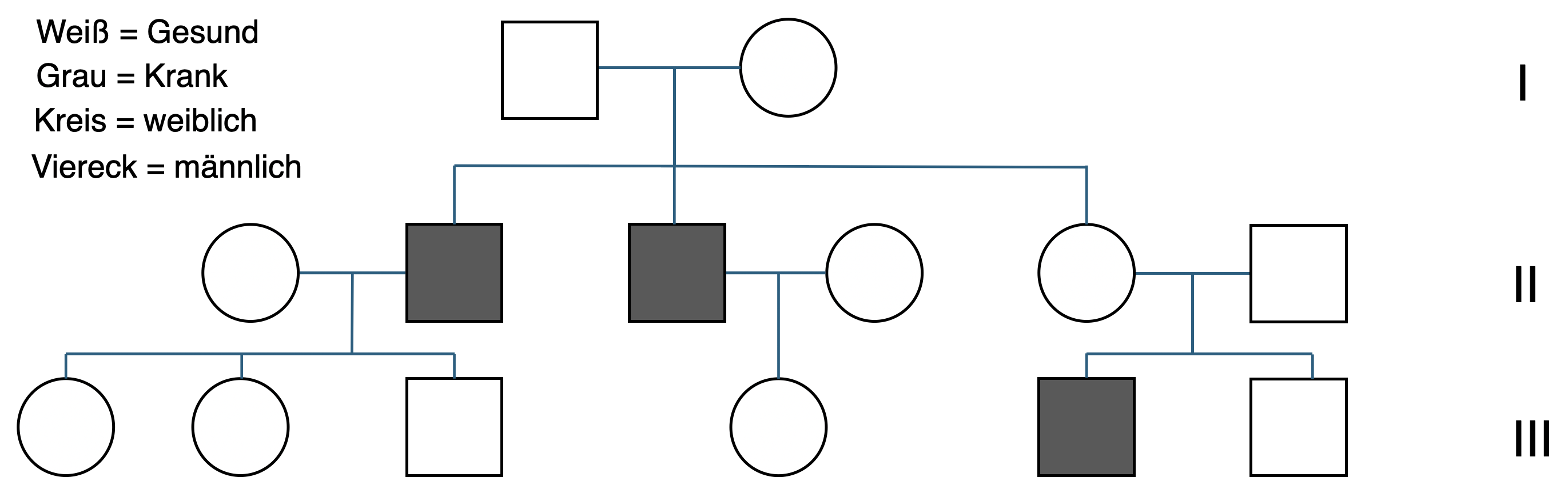
2.15 Der gezeigte Stammbaum dokumentiert das Auftreten einer Erkrankung innerhalb einer Familie (graue Symbole stehen für betroffene Personen). Unter der Annahme vollständiger Penetranz und ohne Neumutationen, welcher Erbgang liegt am wahrscheinlichsten vor?

Antwortmöglichkeiten
- (A) X-chromosomal Rezessiv
- (B) Neumutation
- (C) X-chromosomal dominant
- (D) Autosomal Dominant
- (E) Autosomal Rezessiv