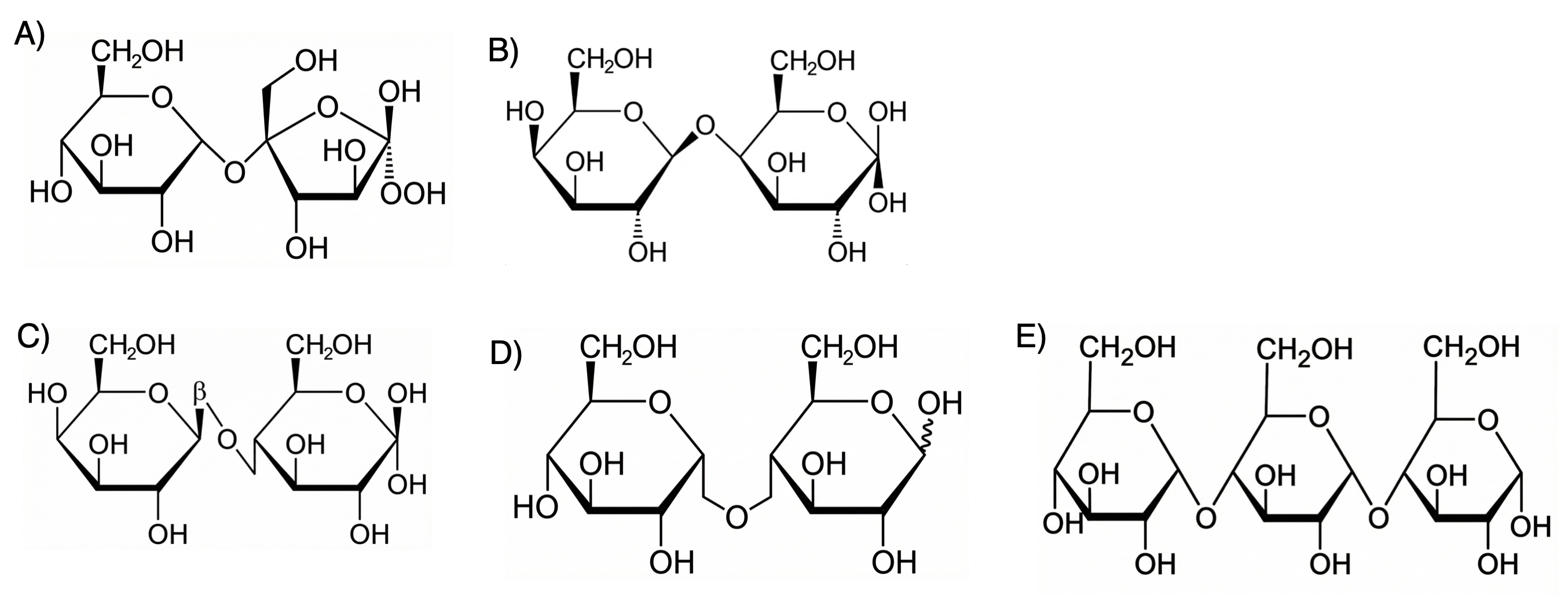
1.134 Welches der im Bild gezeigten Kohlenhydrate stellt das Substrat für die Lactase dar, welches an der Bürstensaummembran der Dünndarm-Enterozyten in Monosaccharide hydrolysiert wird?

Antwortmöglichkeiten
- (A) Kohlenhydrat A
- (B) Kohlenhydrat B
- (C) Kohlenhydrat C
- (D) Kohlenhydrat D
- (E) Kohlenhydrat E