Zurück
Aufgabe 1-26
24 / 315
Weiter

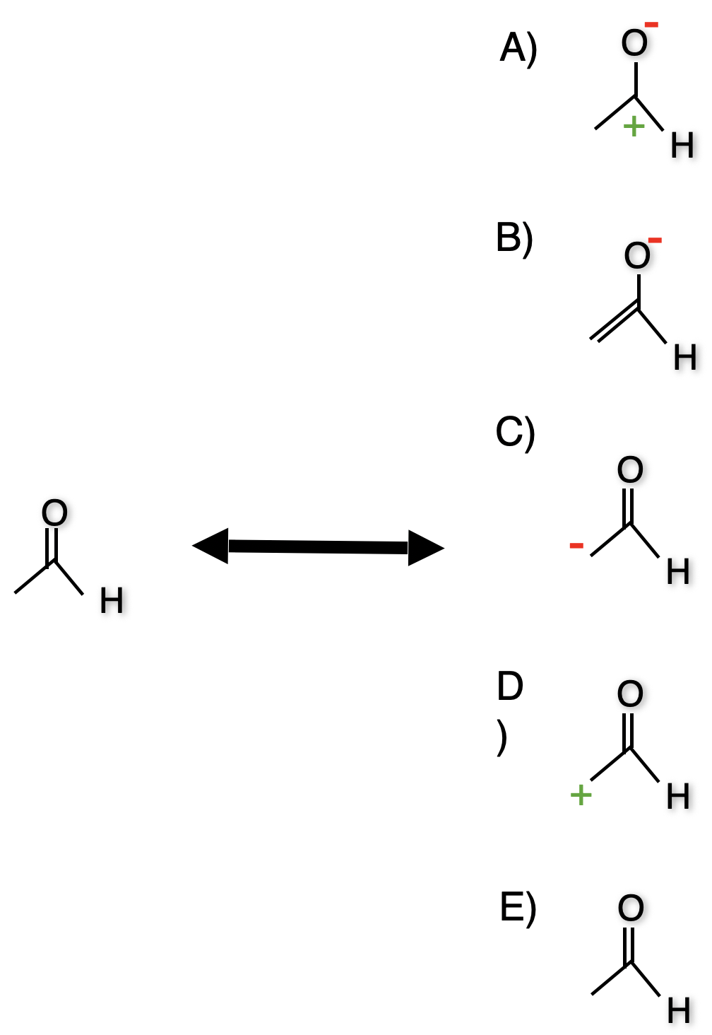
1.26 Welche der gezeigten Strukturformeln (A)–(E) ist eine mesomere Grenzstruktur von Acetaldehyd?

Antwortmöglichkeiten

  • (A) Formel A
  • (B) Formel B
  • (C) Formel C
  • (D) Formel D
  • (E) Formel E
Zurück
Aufgabe 1-26
24 / 315
Weiter